Produktbeskrivelse
Silikonepudeblæk er meget udbredt til funktionelt tryk på grund af dets høje elasticitet og evne til at skabe tre-dimensionelle teksturer gennem termisk hærdningsudvidelse. Blandt procesparametrene er blæklagtykkelsen en kritisk faktor, der bestemmer den endelige 3D-effekt. Tykkelse påvirker ikke kun ekspansionshøjden, men påvirker også direkte mikroboblestrukturen, spændingsfordelingen og overfladedetaljestabiliteten.
Effekt af tykkelse på varmeoverførsel og ekspansionsadfærd
Under hærdning danner silikonepust blæk en mikrocellulær skumstruktur gennem gasudvidelse. Blæklagets tykkelse påvirker ekspansionsadfærden på flere måder:
- Tynde lag: Varme overføres hurtigt gennem laget, hvilket begrænser boblevækst og resulterer i lavere 3D-højde, men høj ensartethed.
- Lag med moderat tykkelse: Tilstrækkelig plads gør det muligt for boblerne at udvide sig fuldt ud, hvilket skaber en klar og ensartet tre-dimensionel struktur.
- For tykke lag: Varmegennemtrængning er forsinket, hvilket fører til ujævn ekspansion, potentielt lokaliseret kollaps eller indbyrdes forbundne bobler, der producerer en uregelmæssig 3D-overflade.
- Tykkelse påvirker også reaktionshastigheden af tværbindingsprocessen. Tykke lag kræver optimeret hærdningstemperatur og -tid for at sikre fuld tværbinding og mikrostrukturstabilitet.
Thickness and 3D Structure Stability
Blæklagtykkelsen påvirker både mikroboblenetværkstæthed og makroskopisk 3D-effekt:
- Bobledensitet og elasticitet: Moderat tykkelse giver et tæt og ensartet boblenetværk, der tilbyder ideel elasticitet og taktil kvalitet. Tynde lag har utilstrækkelig bobledannelse, hvilket reducerer 3D-effekten; for tykke lag kan danne ujævne bobler, hvilket kompromitterer overfladestabiliteten.
- Spændingsfordeling: Udvidelse af tykke lag genererer interne spændingsgradienter, hvor lokaliserede spændingskoncentrationer potentielt kan forårsage kollaps eller overfladerevner.
- Detaljetroskab: Tykke lag kan forårsage kantspredning eller slørede linjer i fine mønstre eller gradienter, mens tynde lag bevarer kantskarpheden, men begrænser 3D-højden.
Nøgleprocesparametre for tykkelseskontrol
Nøjagtig tykkelseskontrol afhænger af flere procesvariable:
- Maskeantal og gummiskraberparametre: Styrer direkte blækaflejring og lagens ensartethed.
- Raberens tryk og vinkel: Påvirker blæknivellering og tykkelseskonsistens.
- Miljøforhold: Temperatur og fugtighed påvirker blækkets viskositet og ekspansionsadfærd og påvirker indirekte tykkelse og skumstruktur.
- Lagstrategi: Flere lag kan øge 3D-højden og samtidig bevare detaljerne, men mellemlagsadhæsion og intern stress skal håndteres.
Tykkelse-Ekspansion-Stress forhold
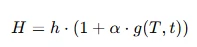
3D-højden HHH kan tilnærmes som en funktion af blæklagets tykkelse hhh og udvidelseskoefficienten:
![]()
hvor g(T,t)g(T, t)g(T,t) repræsenterer virkningen af hærdningstemperaturen TTT og tiden ttt på ekspansion. Dette forhold indikerer, at stigende tykkelse kan forbedre 3D-højden, men kan også introducere ujævn stress og boblefordeling.
Konklusion
Blæklagtykkelsen er en kernefaktor, der bestemmer den tre-dimensionelle effekt og mikrostrukturelle stabilitet af silikonepusterblæk. Ved at optimere tykkelsen i forbindelse med hærdningsbetingelser og procesparametre er det muligt at opnå ensartede, højelastiske og fint detaljerede 3D-printresultater. En dyb forståelse af forholdet tykkelse-ekspansion-stress giver et videnskabeligt grundlag for høj-præcisions funktionel printprocesdesign.
